首页HOME PAGE
学校概要COLLEGE OUTLINE
教学单位TEACHING UNIT
现代农业技术学院马克思主义学院通识教育学院建筑与能源工程学院工程技术学院经济管理学院卫生健康学院学前教育学院继续教育培训处
党建工作PARTY BUILDING
教务在线EDUCATIONAL
学工在线STUDENT WORK
招生信息EMPLOYMENT
就业信息EMPLOYMENT
科研工作SCIENTIFIC EFFORT
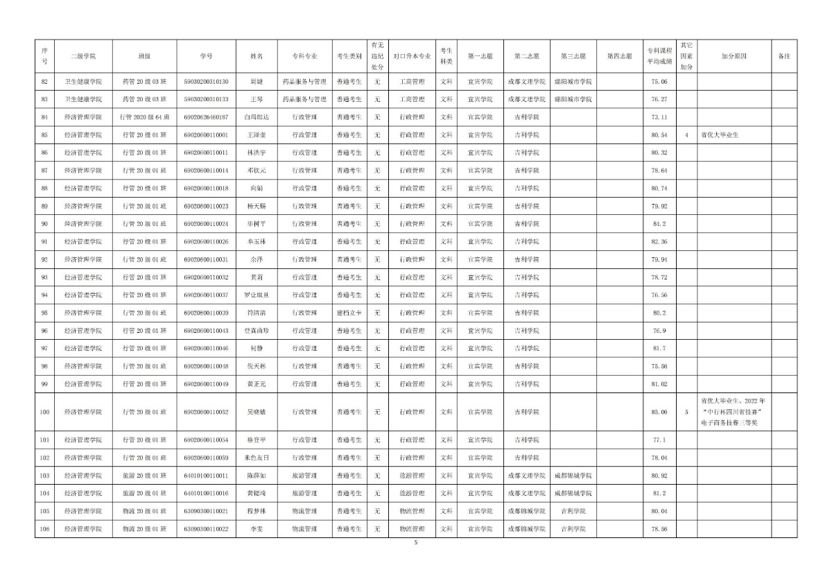
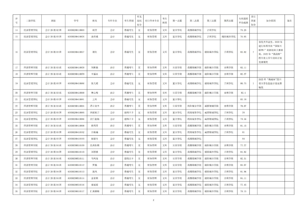
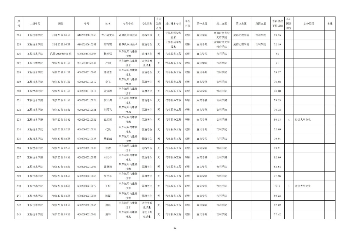
2023-03-22
上一篇:关于内江师范学院2023年跨校“专升本”报名学生公示
下一篇:四川三河职业学院关于宜宾学院2023年跨校“专升本”报名学生公示
Copyright © 2018 地址:四川省泸州市合江荔城大道500号 邮编:646200 联系电话:0830-5261151、5255263、5255327 传真:0830-8889199 QQ:800099668